Ross Perot and Democratic Capitalism If there was one big disappointment in the politics of the last quarter of the 20th century, it was Ross Perot. From an avid supporter, I became one of the legions of disappointed fans. Perot was a billionaire belly-acher with no agenda which is why he was a parody of George Bush's "Read my lips" label: Read my mind. While complaining about government waste it was never noted how Perot was the biggest beneficiary of welfare dollars by processing public assistance claims without competitive bidding. There were many welfare queens but only one welfare king. Below are three letters that show how Perot was approached to receive, gratis, the concepts and applications of better democracy and capitalism. The originator of these ideas for a safer, saner world will always have a bitter assessment of the little prancing, bantam chicken. He could have sheparded in a needed paradigm shift that would have saved humanity much. The following are letters of correspondence show the trail of wasted time.
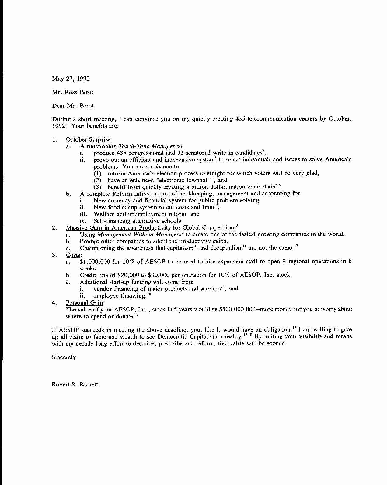
|